Знакомьтесь: бетон М350, он же В25. Это не просто серая масса, а настоящий рабочий лошадка строительного мира. Его прочность — 350 кг на каждый квадратный сантиметр. Задумайтесь, какое давление он способен выдержать! Именно поэтому он так популярен: ему доверяют самые ответственные участки работы, где нужна не просто надежность, а железобетонная уверенность.
Где же используют этого «тяжеловеса»? Да практически везде, где нагрузка считается серьезной. Фундаменты многоэтажек, колонны торговых центров, плиты перекрытий в жилых домах — его стихия. Но на этом его амбиции не заканчиваются. Он выходит на открытые пространства: дороги, взлетные полосы аэродромов, мосты. В общем, всё, что должно стоять десятилетиями, не боясь ни непогоды, ни постоянного стресса.
Что скрывается за маркой М350?
Если говорить просто, М350 — это бетон средней, но очень уверенной прочности. Он уже не для садовой дорожки, но ещё не для ядерного бункера. Идеальный компромисс для большинства капитальных строений. Из него льют несущие конструкции, которые становятся скелетом здания: те самые фундаменты, стены, колонны и перекрытия. А ещё он отлично показывает себя под открытым небом, в покрытиях, которые ежедневно испытывают на прочность колесами и шагами.
| Характеристика | Что это значит | Где это важно |
|---|---|---|
| Прочность на сжатие | от 28 до 35 МПа (это очень солидно!) | Основа основ: фундаменты, перекрытия, несущие стены и колонны. |
| Морозостойкость | от 50 до 300 циклов «заморозки-разморозки» | Для нашего сурового климата — must have. Выдержит зиму, весну и снова зиму. |
| Водонепроницаемость | Практически не пропускает воду (не выше 0,3 кг/м²∙ч∙мм) | Спасает подвалы от сырости, а дороги — от разрушения талыми водами. |
Именно этот набор качеств и делает М350 таким востребованным. Он как швейцарский нож в руках строителей: универсальный, надежный и готов к испытаниям. Он спокойно воспринимает огромные нагрузки, не теряя форму и прочность.
А ещё он отлично переносит капризы природы. Боитесь, что фундамент «поведет» после морозной зимы? М350 с высокой морозостойкостью — ваш выбор. Беспокоитесь о сырости в цокольном этаже? Его низкая водопроницаемость станет надежным барьером. Это не просто бетон, это страховка от многих строительных головных болей.
Что входит в его «характер»? Ключевые свойства
Давайте разберем по полочкам, почему М350 ведет себя так уверенно. Всё дело в трех китах:
- Несущая способность (прочность на сжатие): Это главный козырь. 28-35 МПа — цифра, за которой стоят многотонные нагрузки. Представьте себе многоэтажку — весь её вес давит на фундамент. М350 держит удар, точнее, давление.
- Стойкость к морозам: Вода, попавшая в поры, замерзая, расширяется и рвет материал. Наш герой выдерживает до 300 таких циклов! По сути, он может 300 раз пережить зиму без серьезных повреждений. Впечатляет, правда?
- Сопротивление воде: Его структура настолько плотная, что воде сложно просочиться внутрь. Показатель водонепроницаемости очень низкий. Это спасает конструкции от коррозии, сырости и постепенного разрушения изнутри.
Но есть и приятный бонус: с ним удобно работать. Этот бетон пластичен, хорошо заполняет форму (даже самую сложную) и легко уплотняется. Нет той каменной неподатливости, которая заставляет рабочих потеть. А это, поверьте, ускоряет процесс и улучшает результат.
Сильные стороны: почему его выбирают?
У каждого решения есть свои плюсы. Выбор в пользу М350 — это осознанное вложение в долговечность. Вот что вы получаете:
- Мощь. Минимум 35 МПа прочности — это гарантия, что конструкция не подведет под весом и нагрузками. Мосты, тоннели, многоэтажки — всё это его стихия.
- Неуязвимость. Он словно закаленный боец: не боится ни мороза (до 300 циклов!), ни воды. Можно строить в прибрежной зоне или в регионах с суровыми зимами.
- Покладистость. Хорошая пластичность означает меньше проблем при укладке. Он ложится ровно, образуя гладкую поверхность без пустот.
- Долгожительство. Он не выцветает на солнце, не боится большинства химикатов и устойчив к коррозии. Построили и забыли на десятилетия.
- Экологичность. В его основе — натуральные компоненты. Никаких скрытых угроз для здоровья или природы.
По сути, выбирая М350, вы платите за спокойствие. За то, что мост будет стоять, фундамент не просядет, а взлетная полоса не растрескается после первой же зимы. Это материал для тех, кто строит всерьез и надолго.
Обратная сторона медали: минусы М350
Идеальных материалов не бывает. Чтобы решение было взвешенным, нужно знать и о недостатках. С М350 они тоже есть:
- Цена. Высокая прочность и специальные свойства стоят дороже. Это не тот бетон, на котором есть смысл экономить при строительстве гаража.
- Нетерпение. Набирая свою легендарную прочность, он может делать это не так быстро, как более легкие марки. Процесс строительства требует чуть больше времени или специальных ускорителей.
- Суровая работа. Из-за плотности и веса с ним бывает сложнее управляться. Нужна опытная бригада и правильное оборудование для подачи и уплотнения.
- Рецептура. Приготовить правильную смесь М350 — это не просто замесить цемент с песком. Нужны точные пропорции, качественные компоненты и понимание технологии. Кустарное производство не подойдет.
- Логистика. Он тяжелый и объемный. Для доставки нужен серьезный транспорт, а для хранения — место и условия.
Стоит ли игра свеч? Для ответственных объектов — безусловно. Эти минусы — не приговор, а скорее особенности, которые нужно учитывать в планировании и смете. Зная о них, вы сможете всё подготовить правильно и избежать неприятных сюрпризов на стройплощадке.
Где он царствует? Области применения
| Где используют | Почему именно он | Конкретные примеры |
|---|---|---|
| Мосты и тоннели | Стойко переносит постоянные вибрации и чудовищные динамические нагрузки от транспорта. | Пролеты мостов, конструкции тоннелей на оживленных трассах. |
| Промышленные объекты | Не боится агрессивной среды, ударов и высокого давления от станков и техники. | Цеха, склады, ангары, фундаменты под тяжелое оборудование. |
| Многоэтажки и комплексы | Дает необходимую прочность для несущего каркаса и хорошую звукоизоляцию. | Каркасы жилых и офисных высоток, торговые центры. |
| Инфраструктура | Устойчив к влаге, морозу и истиранию — то, что нужно для объектов под открытым небом. | Взлетные полосы, элементы ж/д вокзалов, гидротехнические сооружения. |
Как видите, спектр задач для М350 огромен. От скрытых в земле фундаментов до грандиозных мостов. Он стал незаменимым там, где на кону — безопасность, долговечность и устойчивость к экстремальным условиям. Это фундаментальный выбор для фундаментальных проектов.
Как рождается эта прочность? Технология производства
Создание качественного М350 — это точная наука, а не просто смешивание компонентов. Посмотрим на этапы:
- Отбор «ингредиентов». Щебень нужной фракции и прочности, чистый песок без глины, цемент высокой марки (М500) и, что важно, чистая вода. Любая примесь — потенциальная слабость.
- Дозирование и смешивание. Здесь важна абсолютная точность. Пропорции нарушать нельзя. Всё соединяется в бетоносмесителе до состояния однородной массы.
- Придание свойств. Часто в смесь добавляют пластификаторы. Они делают бетон более текучим и удобным в работе без потери прочности.
- Доставка и укладка. Готовую смесь спешно доставляют на объект в миксерах. Укладывают и тщательно уплотняют вибраторами, выгоняя пузырьки воздуха — главных врагов монолитности.
- Терпение. Самый важный этап — твердение. Бетон набирает силу в течение недель, и в это время за ним нужен правильный уход (увлажнение, защита от солнца и мороза).
Нарушение технологии на любом этапе — это риск. Риск получить материал, который не дотягивает до заявленной марки «М350». Поэтому так важно работать с проверенными производителями, которые дорожат репутацией.
Из чего он состоит? Разбираем состав
Всё гениальное просто. Прочность М350 складывается из четырех основных компонентов.
Цемент — «клей» высшей пробы
Основной связующий элемент — портландцемент марки М500. Именно он, вступая в реакцию с водой, скрепляет все частицы в единый каменный монолит. От его качества зависит всё.
Наполнители — создающие каркас
Щебень и песок — не просто балласт. Это скелет бетона. Щебень берет на себя основные нагрузки, а песок заполняет пустоты между ним. Их прочность и чистота напрямую влияют на итоговую прочность М350.
Вода — источник реакции
Не просто жидкость, а катализатор процесса твердения. Но только чистая, питьевая вода. Любая химия или органика в воде может «отравить» реакцию и резко снизить прочность.
Добавки — секретные ингредиенты
Пластификаторы, ускорители, противоморозные добавки. Они не обязательны, но часто применяются, чтобы придать бетону specific свойства: сделать его более текучим, ускорить твердение или позволить работать зимой.
Сложно? На самом деле, всё логично. Качество каждого компонента контролируется, пропорции выверяются до грамма. Только так из разрозненных материалов рождается тот самый надежный и однородный М350, который мы знаем.
Как не ошибиться? Требования к качеству
Чтобы быть уверенным в бетоне, нужно следить за всем процессом. Вот на что смотрят профессионалы:
Исходники
Все компоненты должны иметь паспорта качества. Цемент — свежий и нужной марки, песок и щебень — промытые, без пыли и глины, вода — чистая.
Рецепт
Пропорции — святое. «На глазок» здесь не работает. Современные бетонные заводы используют компьютеризированное дозирование.
Смешивание
Должно быть тщательным и равномерным. Каждая песчинка и камешек должны быть облеплены цементным тестом. Никаких сухих комков или расслоения.
Укладка
Здесь важно мастерство рабочих. Бетон нужно правильно разложить, а затем уплотнить вибраторами. Цель — изгнать воздух и добиться максимальной плотности.
Уход
После укладки бетон не должен сохнуть на солнце или замерзать. Его укрывают пленкой, поливают водой. Это гарантия, что он наберет марочную прочность без трещин.
Контроль
Настоящие профи всегда проверяют. Отливают контрольные кубики из каждой партии бетона и испытывают их на прессе. Только так можно быть уверенным в цифрах.
Соблюдение этих, казалось бы, простых правил — единственный путь к получению того самого, настоящего бетона М350, который не подведет.
Как разобраться в маркировке?
| Класс прочности (по современному стандарту) | Старая добрая марка | Прочность на сжатие, МПа |
|---|---|---|
| B7,5 | М150 | ≥ 7,5 |
| B10 | М200 | ≥ 10 |
| B12,5 | М250 | ≥ 12,5 |
| B15 | М300 | ≥ 15 |
| B20 | М350 | ≥ 20 |
| B25 | М400 | ≥ 25 |
| B30 | М450 | ≥ 30 |
Видите? Наш герой стоит в этом ряду под маркой М350 и классом B20. Это и есть его официальный «титул». Класс прочности (B) — более точный показатель, его и используют в проектной документации. Но название «М350» настолько прижилось, что его используют все: от прораба на стройке до заказчика.
Зачем такие сложности? Чтобы все говорили на одном языке. Когда проектировщик пишет в чертежах «B20 (М350)», производитель бетона и строители точно понимают, какой материал нужен. Это защита от ошибок и недопонимания на всех этапах, от завода до готовой конструкции.
От чего зависит его «сила»? Крепость бетона
Крепость, или прочность, — не магия, а физика и химия. Главный фактор — соотношение воды и цемента в смеси. Слишком много воды — получится пористый и слабый бетон. Мало воды — смесь будет сухой, ее не удастся нормально уложить и уплотнить. Золотая середина — ключ к успеху.
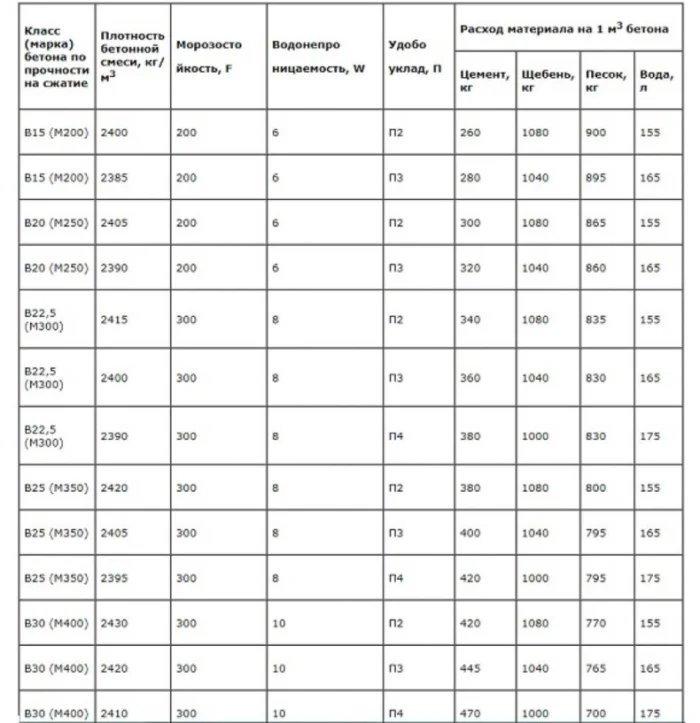
А как эту крепость измеряют? Берут кубики бетона со стороной 15 см, выдержанные 28 суток в идеальных условиях, и давят их на мощном прессе до разрушения. Силу, при которой кубик сдался, делят на его площадь — получают искомые МПа или кгс/см². Для М350 этот показатель составляет те самые 350 кгс/см² (или около 32-33 МПа).
Но умные инженеры всегда закладывают запас прочности. Потому что в реальных условиях бывают и перегрузки, и неидеальное качество укладки. Так что фактическая прочность готовой конструкции из М350 часто даже выше лабораторных цифр. Это и есть настоящая надежность.
Как он ведет себя в бою? Устойчивость к внешним факторам
Прочность под прессом — это хорошо. Но в жизни на бетон действует целый комплекс сил. Как М350 противостоит им?
Во-первых, он отлично справляется с постоянными вибрациями и ударами. Представьте дорогу, по которой день и ночь едут фуры. Или цех с работающими станками. Для таких условий нужен материал, который не будет трескаться от усталости. М350 — один из них.
Химическая атака
Кислотные дожди, брызги соленой воды, агрессивные почвы — не все материалы это выдерживают. М350 имеет хорошую стойкость к умеренным химическим воздействиям благодаря своей плотной структуре. Он не размягчится и не рассыплется.
Но есть нюанс: при постоянном контакте с очень агрессивной средой (например, на химическом производстве) даже он может нуждаться в дополнительной защите — специальных покрытиях. Это вопрос разумной предусмотрительности.
Вода и соль — главные враги?
Вода — разрушительная сила. Она вымывает, замерзает в порах, несет с собой соли. Высокая водонепроницаемость М350 — его главный щит. Он отлично подходит для строительства в сырых местах, у воды, для гидротехнических сооружений.
Морская соль коварна. Она может вызывать коррозию арматуры внутри бетона. Сам бетон М350 сопротивляется ей хорошо, но для конструкций в соленой морской атмосфере важно использовать правильную арматуру и следить за ее защитным слоем бетона.
Испытание холодом
Морозостойкость — одна из сильнейших сторон М350. Он спокойно переносит многократные циклы заморозки и оттаивания. Это делает его бесценным для нашего климата, где за одну зиму таких циклов может быть несколько десятков.
Но если речь о крайнем Севере или условиях экстремального перепада температур, в бетонную смесь могут добавлять специальные воздухововлекающие добавки. Они создают микроскопические пузырьки, которые служат буфером для расширяющегося льда, повышая стойкость в разы.
Вывод? М350 — боец с отличной подготовкой. Он устойчив к большинству «вызовов» внешней среды. Но, как и любой материал, требует грамотного применения. Знание его сильных сторон и учет особенностей эксплуатации — залог того, что конструкция простоит века.
Сколько он прослужит? Срок жизни бетона М350
Вопрос на миллион. Ответ: очень долго, но при соблюдении условий. Срок службы — это не гарантийный талон, а результат стечения многих обстоятельств.
Условия — решающий фактор
Бетон в сухом отапливаемом помещении простоит куда дольше, чем тот же бетон в агрессивной промышленной среде или на открытом ветру и морозе у моря. Влажность, химические испарения, перепады температур, механический износ — всё это «старит» материал.
Качество закладки — фундамент долголетия
Даже самый лучший бетон можно загубить на стадии укладки. Неправильное уплотнение, нарушение пропорций на заводе, укладка в мороз без добавок — всё это сокращает жизнь конструкции в разы.
Как продлить век?
Всё просто, но требует дисциплины: использовать качественные материалы, соблюдать технологию, правильно ухаживать за бетоном в первые дни. А для конструкций на улице или в сложных условиях — применять защитные пропитки, гидроизоляцию, своевременно ремонтировать сколы и трещины.
В благоприятных условиях железобетонные конструкции из М350 могут служить 100 лет и более. В более жестких — 50-70 лет. Но это не предел. Правильная эксплуатация и своевременный уход творят чудеса.
Так что, говоря о сроке службы бетона М350, мы на самом деле говорим о качестве проекта, строительства и обслуживания. Он дает нам прочный и долговечный материал, но сохранить этот потенциал — наша задача.
Цифры и параметры: физико-механические свойства
Любите точность? Вот сухие, но важные цифры, которые описывают «организм» бетона М350.
Прочность (снова, но это важно)
Около 35 МПа (350 кгс/см²). Это его визитная карточка, главная рабочая характеристика.
Модуль упругости
Около 30 ГПа. Что это значит? Эта цифра показывает, насколько бетон упруг, как он сопротивляется деформациям. Высокий модуль упругости говорит о том, что под нагрузкой конструкция прогнется несильно, сохраняя форму.
Плотность
Примерно 2400 кг/м³. Это тяжелый, плотный бетон. Такая плотность дает не только прочность, но и хорошие звуко- и теплоизоляционные свойства (хотя для утепления нужны специальные материалы).
Водопоглощение
Всего 5-6% по массе. Очень низкий показатель. Он подтверждает, что бетон М350 плотный и впитывает минимум воды, что напрямую связано с его морозостойкостью и долговечностью.
Эти цифры — не просто статистика. Это язык, на котором инженеры-конструкторы рассчитывают нагрузки, прогибы, выбирают сечения элементов. За каждой цифрой стоит физический смысл, который в итоге гарантирует, что здание будет устойчивым, а мост — надежным.
Как проверяют чемпиона? Испытания бетона
Доверяй, но проверяй. Прежде чем пустить бетон в работу, его подвергают целой батарее испытаний.
На прочность
Классика. Те самые кубики давят на прессе. Это обязательный и главный тест для каждой партии. Без положительного результата бетон не имеет права называться М350.
На водонепроницаемость
Образцы бетона помещают под давление воды и смотрят, просочится ли она. Так проверяют соответствие заявленному коэффициенту. Это особенно важно для будущих фундаментов и гидротехнических сооружений.
На морозостойкость
Образцы циклично замораживают и оттаивают в специальных камерах, а потом проверяют их прочность и внешний вид. После 50, 100, 200 циклов смотрят, насколько они «постарели».
На скорость твердения
Это важно для планирования работ. Когда можно снять опалубку? Когда по плите можно ходить? Испытания помогают построить график набора прочности во времени.
Эти испытания — не прихоть, а строгая необходимость. Они переводят доверие в категорию доказанных фактов. Когда вы видите паспорт на партию бетона М350 с результатами испытаний, вы можете быть спокойны: материал соответствует тому, что заявлено. И это, пожалуй, самая важная гарантия в строительстве.
Бетон М350 в деталях: фотогалерея
