Представьте, что вы сжимаете кусок бетона в руке. Чем он тяжелее на единицу объема, тем он плотнее. Именно так, если отбросить формулировки из учебников, и определяется плотность бетона — массой, делённой на занимаемый объём. И это не просто цифра в паспорте материала. От неё напрямую зависит, выдержит ли фундамент дом, не треснет ли мост и насколько тёплыми будут стены. Плотность — это фундаментальная характеристика, которая диктует правила игры в строительстве.
Но бетон бетону рознь. Стандартный конструкционный, который мы видим повсюду, весит от 2200 до 2500 кг в каждом кубометре. А теперь сюрприз: существуют лёгкие версии, чья плотность стартует с 300 кг/м³ — они легко плавают в воде! И на другом конце спектра — сверхтяжёлые бетоны, достигающие 4000 кг/м³, которые используются для защиты от радиации. Разброс колоссальный, не правда ли?
Выбор нужной плотности — это всегда баланс. Слишком лёгкий бетон может не обеспечить прочности. Слишком тяжёлый — создаст неподъёмную нагрузку на конструкции и кошелёк. Инженер, подбирая эту цифру, учитывает всё: ожидаемые нагрузки, климат, требования к теплоизоляции и даже логистику. Это тонкая настройка материала под конкретную задачу.
Что скрывается за цифрой «плотность бетона»?
Если по-простому, плотность показывает, насколько «плотно упакованы» частицы внутри материала. Чем меньше пустот и воздуха между зернами цемента, песка и щебня, тем выше плотность и, как правило, прочность.
| Тип бетона | Плотность, кг/м³ | Где царствует |
|---|---|---|
| Конструкционный (обычный) | 2200-2500 | Фундаменты, колонны, плиты перекрытий, дороги — основа основ строительства. |
| Лёгкий | 300-2000 | Там, где нужно снизить нагрузку или утеплить: стены каркасных домов, перегородки, теплоизоляционные стяжки. |
| Тяжёлый и сверхтяжёлый | 2500-4000+ | Спецобъекты: защитные сооружения АЭС, противовзрывные бункеры, сооружения в условиях агрессивных сред. |
Не только плотность: какие ещё свойства важны
Бетон — сложный композит, и его характер определяет не один параметр. Плотность — важная, но не единственная черта. Вот что ещё имеет значение:
- Прочность на сжатие. Главный «талант» бетона — сопротивляться сдавливанию. Именно её маркируют буквой «B» (B25, B30 и т.д.).
- Прочность на растяжение. Здесь бетон слаб, и чтобы компенсировать это, его армируют сталью.
- Водопоглощение. Способность впитывать воду — ахиллесова пята. Высокое водопоглощение ведёт к коррозии арматуры и разрушению от мороза.
- Теплопроводность. Чем плотнее бетон, тем лучше он проводит тепло. Поэтому для тёплых стен используют как раз лёгкие, пористые виды.
- Морозостойкость (F). Сколько циклов заморозки-оттаивания выдержит без потери прочности. Критично для нашего климата.
Понимая этот набор свойств, можно не вслепую выбирать бетон «подешевле», а точно подбирать материал, который проживёт долго в конкретных условиях. Это и есть грамотное проектирование.
Вода: друг или враг плотности?
Вода — обязательный участник процесса. Без неё цемент не вступит в реакцию. Но её количество нужно жёстко контролировать. Это как с тестом: слишком мало воды — не замесить, слишком много — получится жижа.
Больше воды — меньше плотность
Всё логично: лишняя вода не вступает в реакцию, а остаётся в порах или испаряется, оставля после себя пустоты. Эти микроскопические пузырьки воздуха снижают общую плотность и, что хуже, прочность готового изделия.
Идеальный баланс
Задача технолога — найти ту самую «золотую середину»: минимально необходимое количество воды для нормальной гидратации цемента и удобоукладываемости смеси. Для этого используют специальные добавки — пластификаторы, которые позволяют уменьшить водоцементное соотношение без потери пластичности.
Контроль за водой — это контроль за качеством. На современных заводах её дозируют с точностью до литра. Ведь даже небольшое превышение может «размыть» будущую прочность бетона на 10-20%. Разве не удивительно, что от такого простого компонента так много зависит?
Итог прост: чтобы получить плотный и прочный бетон, воду нужно лить не «на глазок», а строго по рецептуре.
Сухой микс против готового раствора: в чём разница?
На стройплощадке можно встретить два принципиально разных подхода.
«Сухой» бетон — это, по сути, готовая сухая смесь в мешках (как для стяжки или кладки). На месте её затворяют водой в бетономешалке. Преимущество — удобство для малых объёмов и ремонтов. Риск — сложно в кустарных условиях добиться идеальной однородности и плотности.
«Мокрый» или товарный бетон — это готовый раствор, который привозят в миксере с завода. Все компоненты уже точно взвешены и перемешаны в идеальных условиях. Качество и плотность здесь предсказуемы и контролируемы. Выбор для любых серьёзных объёмов.
Выбор между ними — это выбор между удобством и гарантией. Для ответственных конструкций (фундамент, перекрытия) альтернативы заводскому бетону просто нет. Доверять личное жильё «кустарному» замесу — большой риск.
Какие цифры считать нормой?
Давайте привяжем абстрактные килограммы на кубометр к реальности.
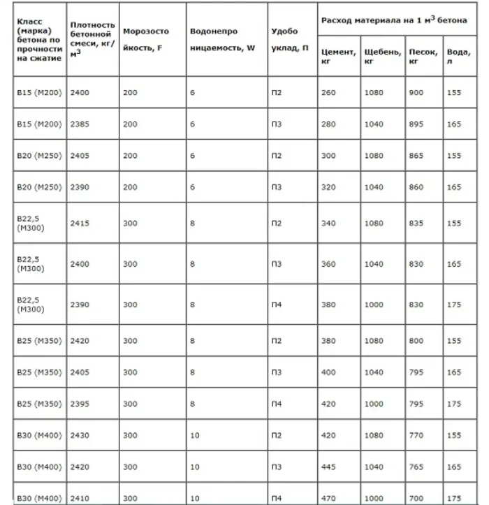
Обычный конструкционный бетон (B20-B30)
Его плотность 2200-2500 кг/м³ — это наш рабочий «конь». Из него льют большинство фундаментов, делают плиты, колонны. Он балансирует между прочностью, доступностью и технологичностью.
Тяжёлый бетон
Плотность свыше 2500 кг/м³. Достигается использованием особо плотных заполнителей: магнетита, барита, металлической дроби. Область применения специфична: защита от радиации (стены рентген-кабинетов), сооружения, где важна массивность.
Лёгкий бетон
Всё, что ниже 2200 кг/м³. Сюда попадают газо- и пенобетоны (300-1200 кг/м³), керамзитобетон (800-1800 кг/м³). Их сила не в прочности на сжатие, а в низкой теплопроводности и малом весе. Идеальны для ненагруженных стен и утепления.
Выбор «нормы» всегда относителен. Для многоэтажки норма — тяжёлый бетон, для загородного каркасника — лёгкий. Главное — чтобы плотность соответствовала той роли, которую материал играет в конструкции.
Официальная классификация: от «очень лёгкого» до «очень тяжёлого»
ГОСТ делит всё многообразие бетонов по плотности на чёткие группы:
| Класс по плотности | Диапазон (кг/м³) | Предназначение |
|---|---|---|
| Особо лёгкие | до 800 | Теплоизоляция. Это пено- и газобетоны самых марок. |
| Лёгкие | 800-2000 | Теплоизоляционно-конструкционные. Стены, перегородки. |
| Тяжёлые (нормальные) | 2000-2500 | Конструкционные. Основная масса ЖБИ и монолита. |
| Особо тяжёлые | 2500 и выше | Специального назначения. Защитные, декоративные. |
Сводная таблица плотности популярных видов
| Вид бетона | Плотность, кг/м³ | Из чего состоит «лёгкость» или «тяжесть» |
|---|---|---|
| Газобетон, пенобетон | 300-1200 | Миллионы замкнутых воздушных пор создают структуру, похожую на губку. |
| Керамзитобетон | 800-1800 | Лёгкие обожжённые гранулы глины (керамзит) вместо тяжёлого щебня. |
| Конструкционный на гранитном щебне | 2200-2500 | Классика: плотный цементный камень + тяжёлый природный заполнитель. |
| Баритовый, магнетитовый | 2500-4000 | Вместо щебня — дроблёные тяжёлые руды, создающие экранирующий эффект. |
Как на практике измерить, сколько весит куб бетона?
Есть несколько методов, от простых до лабораторно-точных.
Самый наглядный способ — гидростатическое взвешивание. Берёте образец (кубик), взвешиваете его в воздухе, а потом — погружённым в воду. По разнице в весе (архимедова сила!) вычисляется объём, а зная массу в воздухе, легко находите плотность. Элегантно и физично!
На стройке могут использовать специальные плотномеры-иглы, которые прокалывают свежий раствор, но это менее точный метод.
Для проектировщиков же всё проще: они считают плотность теоретически, складывая массу всех компонентов (цемента, песка, щебня, воды) и деля на суммарный объём. Если знать пропорции смеси, то всё считается с высокой точностью.
Важно помнить: реальная плотность на объекте может «гулять» из-за качества уплотнения, поэтому контроль за вибрированием — это тоже контроль за плотностью.
От чего вообще зависит эта самая плотность? Факторов много.
- Пропорции. Главный рычаг. Больше цементного теста и меньше пустот между зёрнами заполнителя — выше плотность.
- Характер заполнителя. Используете плотный гранитный щебень — получите тяжёлый бетон. Замените его на керамзит — получите лёгкий.
- Водоцементное соотношение (В/Ц). Чем оно меньше (при сохранении удобоукладываемости), тем плотнее и прочнее будет камень после гидратации.
- Степень уплотнения. Недоработали вибратором — остались воздушные пузыри. Это сразу минус к плотности и прочности.
- Добавки. Пластификаторы помогают уменьшить В/Ц. Микросилика (зола-унос) заполняет мельчайшие поры, делая структуру монолитной.
Хочу бетон плотнее! Какие есть приёмы?
Иногда стандартной плотности недостаточно. Вот как её можно повысить.
Выбрать правильные заполнители
Откажитесь от «дышащего» известнякового щебня в пользу плотного гранита или габбро. Используйте песок с минимальной пустотностью.
Применить уплотняющие добавки
Микросилика, микрокремнезём, метакаолин. Эти тонкодисперсные порошки работают как микронаполнитель, закупоривая поры между зернами цемента и песка, что резко увеличивает плотность и химическую стойкость.
Идеально уплотнить смесь
Никакой магии: мощные глубинные вибраторы, своевременное и равномерное уплотнение — залог того, что теоретическая плотность смеси станет реальной плотностью конструкции.
А если нужно наоборот — сделать бетон легче?
Задача не менее частая, особенно в современном каркасном строительстве.
Ввести лёгкие заполнители
Это основа основ. Керамзит, аглопорит, перлит, вермикулит, вспененное стекло (пеностекло) — все они легче традиционного щебня в разы.
Создать поры искусственно
Так работают пено- и газобетоны. В смесь вводят пенообразователь или алюминиевую пудру, которая вступает в реакцию с выделением водорода. Масса вспучивается, как тесто, и после затвердевания остаётся пористой.
Использовать рециклированные материалы
Дроблёный пенополистирол из упаковки, резиновая крошка — такие нестандартные заполнители тоже снижают вес.
Скорректировать рецептуру (с осторожностью!)
Можно увеличить долю песка (он легче щебня) или применить поризованные за счёт добавок цементные системы. Но здесь легко переступить грань и потерять не только вес, но и прочность.
Снижение плотности — это всегда компромисс. Выигрываешь в весе и теплоизоляции, но почти всегда проигрываешь в прочности на сжатие. Важно чётко понимать, какие нагрузки будет нести конструкция.
Пример расчёта: сколько будет весить наш фундамент?
Давайте оживим теорию. Предположим, нам нужно залить ленточный фундамент размером 5м х 3м х 0.6м (высота ленты).
Мы выбрали бетон класса B25 со следующими усреднёнными пропорциями компонентов по массе:
- Цемент — 15%
- Вода — 10%
- Песок — 25%
- Щебень гранитный — 45%
- Добавки (пластификатор) — 5%
Средние плотности самих материалов нам известны:
| Компонент | Средняя плотность, кг/м³ |
|---|---|
| Цемент | ~1300 |
| Вода | 1000 |
| Песок | ~1500 |
| Щебень гранитный | ~1700 |
| Добавки (жидкие/порошковые) | ~1000 |
Пример расчёта для одного кубометра бетона (1 м³):
Нам нужно узнать массу каждого компонента в этом кубе, исходя из его доли.
Считаем массу цемента: 15% от 1 м³. Но проценты даны по массе, а нам нужно перейти к объёмам. Упрощённо, зная плотности, можно вычислить, что для получения 1 м³ бетона такой рецептуры потребуется примерно:
- Цемент: 0.15 * 1300 кг/м³ ≈ 195 кг
- Вода: 0.10 * 1000 кг/м³ = 100 кг (или 100 л)
- Песок: 0.25 * 1500 кг/м³ ≈ 375 кг
- Щебень: 0.45 * 1700 кг/м³ ≈ 765 кг
- Добавки: 0.05 * 1000 кг/м³ ≈ 50 кг
Суммарная масса всех компонентов: 195 + 100 + 375 + 765 + 50 = 1485 кг.
Объём готовой смеси мы приняли за 1 м³.
Итак, средняя расчетная плотность нашего бетона: 1485 кг / 1 м³ = 1485 кг/м³.
Стоп! Это значение кажется заниженным для конструкционного бетона. И здесь кроется важный момент: в реальности, за счёт того, что мелкие частицы цемента и песка заполняют пустоты между щебнем, объём готовой смеси оказывается МЕНЬШЕ суммы объёмов исходных компонентов. Это называется уплотнением смеси. Поэтому реальная плотность бетона B25 будет ближе к 2300-2400 кг/м³. Наш упрощённый расчёт наглядно показывает разницу между теоретическим сложением и реальным уплотнённым состоянием.
Для нашего фундамента (объём = 5*3*0.6 = 9 м³) при реальной плотности 2350 кг/м³ его вес составит: 9 м³ * 2350 кг/м³ = 21 150 кг, или более 21 тонны. Вот почему так важен точный расчёт несущей способности грунта!
Этот пример — хорошая иллюстрация, что бетон — не простая арифметика, а сложная физико-химическая система. Его итоговая плотность — это всегда синергия правильно подобранных компонентов и качественного уплотнения.
Фотогалерея: бетон разной плотности в жизни
От пористых блоков до монолитных глыб — взгляните, как выглядит разный бетон.
